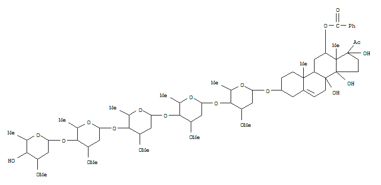
CalotroposideC
Product Code: 1359150
Molecular Formula: C63H96O22
Molecular Weight:

111052-01-8
Benzamide, N-hydroxy-4-(octyloxy)-N-phenyl-
111055-70-0
2-Pyridinecarboxylic acid,[1-dodecyl-2-[(1-dodecyl-1H-imidazol-2-yl)hydroxymethyl]-1H-imidazol-4-yl]methyl ester
11105-36-5
Cobalt alloy,base,Co 50-65,Cr 26-32,W 7-9.5,Fe 0-3,Ni 0-3,Si 0.4-2,C 1.2-1.7,Mn 0-1,Mo 0-1 (UNS R30012)
111060-64-1
Benzenepropanal, a-[bis(phenylmethyl)amino]-, (S)-
11105-16-1
Zirconium hydride
111052-52-9
6-hydroxy-4,7-dimethyl-3-propyl-2H-chromen-2-one
1110-56-1
3-Deacetylsalannin
111058-64-1
Oxiraneacetic acid, butyl ester, (R)-
111055-12-0
Pyridinium, 4-(dimethylamino)-1-(2,4-dinitrophenyl)-, benzenesulfonate
111054-39-8
1-Piperidinecarboxylic acid, 3-bromo-2-methoxy-6-methyl-, ethyl ester
111066-63-8
Benzenesulfonic acid,2-[(4-amino-2-methylphenyl)azo]-5-[(4-sulfophenyl)azo]-
111051-86-6
(6R,10R,14E,18E,23R,27R)-2,6,10,14,19,23,27,31-Octamethyl-14,18-dotriacontadiene
111053-61-3
Butanamide,2-bromo-3,3-dimethyl-N-(1- methyl-1-phenylethyl)-,mixt. with 2-(2-benzothiazolyloxy)-N-methyl-N-phenylacetamide and 2-(2-naphthalenyloxy)-Nphenylpropanamide
111054-54-7
1(2H)-Pyridinecarboxylic acid, 3,4-dihydro-, ethyl ester
111055-03-9
2-CYCLOHEXENE-1-CARBONYL CHLORIDE,4-METHYL-,TRANS-
11106-35-7
Nonidet A 50 (9CI)
111054-63-8
1-Piperidinecarboxylic acid, 2-hydroxy-, ethyl ester
111052-03-0
1,4-Naphthalenedione, 2-methyl-3-(2-methyl-1-oxopropyl)-
111060-50-5
L-Leucine, N,N-bis(phenylmethyl)-, phenylmethyl ester
111064-98-3
2-Butenedioic acid, 2,3-bis(4-methylphenyl)-, (2E)-
146959-74-2, CAS No. 146959-74-2,CasNo 146959-74-2,cas 146959-74-2
CalotroposideC